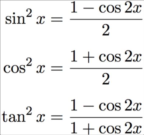
2 cos square alpha formula
2 cos square alpha formula. There are some references to 2 cos square alpha formula in this article. If you are looking for 2 cos square alpha formula you've came to the right place. We have posts about 2 cos square alpha formula. You can check it out below.
Showing posts matching the search for 2 cos square alpha formulaBlog Archive
-
▼
2023
(329)
-
▼
May
(74)
- What Is Indict Antonym
- Mlb Opening Day Stats
- What Is Getting Indicted
- Easter Sunday Sermons: Messages Of Hope And Renewal
- The History Of Easter Monday And Its Connection To...
- What Is Indictment Deferred
- What Is Conviction Chicken
- Baseball Mlb Opening Day
- Father Damien's Canonization And Legacy: The Conti...
- Nashville Shooting Dollar General
- Nashville Shooting Centennial Park
- Mlb Opening Day Winners
- Easter Monday And The Environment: How Some Celebr...
- What Is Pre Indictment Hearing
- What Is Conviction Vacated
- Date Of Mlb Opening Day
- Mlb Opening Day Rosters
- What Is An Indictment Hearing
- The Boston Marathon: History
- Mlb Schedule Regular Season Opening Day
- Stormy Daniels Donald Trump
- Mlb Opening Day 2023 Tickets
- Shooting In Centennial Park Nashville
- Comparing Yom HaShoah To Other Holocaust Remembran...
- Mlb Opening Day Games 2023
- Mlb Opening Day 2023 Braves
- Alvin Bragg New York
- Club Miami Nashville Shooting
- Orthodox Good Friday: Understanding The Difference...
- Nashville Shooting February 2023
- Why Did Mlb Cancel Opening Day
- Alvin Bragg Mailing Address
- Orthodox Good Friday And The Mystery Of Salvation:...
- What Is Conviction Biblically
- Shooting Club Nashville Tn
- Nashville Shooting January 2023
- Mlb Opening Day 2023 Rays
- Countdown To Mlb Opening Day 2023
- Mlb Opening Day 2024
- Mlb Opening Day 2023 Cancelled
- Outdoor Shooting Range Nashville Tn
- Mlb Opening Day Date 2023
- Mlb Opening Day Game Predictions
- Alvin Bragg For Da
- Easter Sunday Music: From Hallelujah Choruses To G...
- What Kind Of Word Is Indictment
- Shooting At Funeral In Nashville Tn
- Holy Saturday Traditions: From Blessing Baskets To...
- Mlb Opening Day Trivia
- Mlb Opening Day 2023 Rays
- Mlb Opening Day Rosters
- New Mlb Opening Day 2023
- Mlb Opening Day Odds 2023
- Boston Marathon Training And Preparation: Tips Fro...
- Mlb Opening Day Schedule
- Mlb Opening Day Payrolls
- What Is Investigation Evaluation
- What Does Indicted Mean In Us Law
- What Is The Indictment Process
- What Is Investigation In Your Own Words
- Officer Shooting In Nashville Tn
- Mlb Opening Day National Tv Schedule
- Nashville Shooting Outlet Mall
- Mlb Opening Day Time And Channel
- Mlb Opening Day 2023 Cancelled
- What Is Investigation How Does It Differ From Audi...
- What Happened To Stormy Daniels Attorney
- Emancipation Day Celebrations: From Parades To Lec...
- Mlb Opening Day 2023 White Sox
- Mlb Opening Day Lines
- What Is Variance Investigation
- Alvin Bragg Office Address
- Mlb Opening Day Matchups
- Lailat Al-Qadr And The Muslim Community: Unity And...
-
▼
May
(74)
Total Pageviews
Search This Blog
Powered by Blogger.
